
수학에서 서로소 집합(Disjoint Sets)이란 공통 원소가 없는 두 집합을 의미한다. 예를 들어 집합 {1, 2}와 집합 {3, 4}는 서로소 관계이다. 반면에 집합 {1, 2}와 집합 {2, 3}은 2라는 원소가 두 집합에 공통적으로 포함되어 있기 때문에 서로소 관계가 아니다.
서로소 집합 자료구조를 설명하려면 서로소 집합 개념이 필요하다. 서로소 집합 자료구조는 몇몇 그래프 알고리즘에서 매우 중요하게 사용되므로 그래프 알고리즘 이론 전에 설명하고자 한다.
서로소 집합 자료구조란 서로소 부분 집합들로 나누어진 원소들의 데이터를 처리하기 위한 자료구조라고 할 수 있다. 서로소 집합 자료구조는 union과 find 이 2개의 연산으로 조작할 수 있다.
union(합집합) 연산은 2개의 원소가 포함된 집합을 하나의 집합으로 합치는 연산이다. find(찾기) 연산은 특정한 원소가 속한 집합이 어떤 집합인지 알려주는 연산이다. 스택과 큐가 각각 push(넣기)와 pop(꺼내기) 연산으로 이루어졌던 것처럼, 서로소 집합 자료구조는 합집합과 찾기 연산으로 구성된다.
서로소 집합 자료구조는 union-find(합치기-찾기) 자료구조라고 불리기도 한다. 연산의 이름 자체가 합치기와 찾기이기도 하고, 두 집합이 서로소 관계인지를 확인할 수 있다는 말은 각 집합이 어떤 원소를 공통으로 가지고 있는지를 확인할 수 있다는 말과 같기 때문이다.
서로소 집합 자료구조
서로소 집합 자료구조를 구현할 때는 트리 자료구조를 이용하여 집합을 표현하는데, 서로소 집합 정보(합집합 연산)가 주어졌을 때 트리 자료구조를 이용해서 집합을 표현하는 서로소 집합 계산 알고리즘은 다음과 같다.
1. union(합집합) 연산을 확인하여, 서로 연결된 두 노드 A, B를 확인한다.
Ⅰ. A와 B의 루트 노드 A', B'를 각각 찾는다.
Ⅱ. A'를 B'의 부모 노드로 설정한다(B'가 A'를 가리키도록 한다).
2. 모든 union(합집합) 연산을 처리할 때까지 1번 과정을 반복한다.
이것이 트리를 이용해 서로소 집합을 계산하는 알고리즘이다. 또한 실제로 구현할 때는 A'와 B' 중에서 더 번호가 작은 원소가 부모 노드가 되도록 구현하는 경우가 많으므로, 이 책에서도 그러한 구현 방식을 따르기로 하겠다. A'가 1이고, B'가 3이라면, B'가 A'를 가리키도록 설정한다. 여기서 '가리킨다'는 표현은 부모 노드로 설정한다는 의미이다. 예를 들어 B'가 A'를 부모 노드로 설정하는 것을 그래프로 시각화할 때, B'와 A'를 간선으로 연결하는 형태로 그래프를 그릴 수 있다. 이어지는 step에 있는 그림을 보면 이해가 쉬울 것이다.
예시를 통해서 서로소 집합 알고리즘의 동작 방식을 이해해보도록 하자. 이번에는 전체 집합 {1, 2, 3, 4, 5, 6}이 6개의 원소로 구성되어 있는 상황을 생각해보자. 이때 다음과 같은 4개의 union 연산이 주어져 있다.
- union 1, 4
- union 2, 3
- union 2, 4
- union 5, 6
이러한 4개의 union 연산은 각각 '1과 4는 같은 집합', '2와 3은 같은 집합', '2와 4는 같은 집합', '5와 6은 같은 집합'이라는 의미를 가지고 있다. 다시 말해 총 4개의 union 연산이 존재하는 것이다. 이때 4개의 union 연산이 수행된 후에, 전체 원소들이 결과적으로 어떠한 형태의 부분 집합으로 나누어질지 확인해보자.
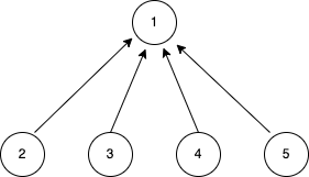
이러한 union 연산들은 그래프 형태로 표현될 수도 있다. 각 원소는 그래프에서의 노드로 표현되고, '같은 집합에 속한다'는 정보를 담은 union 연산들은 간선으로 표현된다. 즉, 6개의 노드가 있고 4개의 간선이 존재하는 그래프로 바꾸어서 생각할 수 있다.
유의할 점은 다음 그래프는 union의 관계를 효과적으로 보여주기 위해 그래프 형태로 시각화할 수 있다는 의미를 보여주기 위해 보여주는 것이다. 앞서 언급했듯이 실제로 각 원소의 집합 정보를 표현하려면 트리 자료구조를 이용한다. 일반적으로 서로소 집합을 그림으로 표현할 때는 번호가 큰 노드가 번호가 작은 노드를 간선으로 가리키도록 트리 구조를 이용해 그림을 그리게 된다. 즉, 트리 구조상 번호가 작은 노드가 부모가 되고, 번호가 큰 노드가 자식이 된다. 구체적인 과정은 뒤에 다룰 것이다.

우리는 이 그림을 보자마자 노드 간의 관계를 빠르게 확인할 수 있다. 전체 원소가 {1, 2, 3, 4}와 {5, 6}이라는 두 집합으로 나누어지는 것을 알 수 있다. 노드 1, 2, 3, 4가 같은 집합에 속하며 노드 5, 6이 같은 집합에 속한다. 이렇게 union 연산을 토대로 그래프를 그리면 '연결성'으로 손쉽게 집합의 형태를 확인할 수 있다. 위 그래프에서는 노드 3에서 노드 1로 간접적으로 연결되어 이동할 수 있기 때문에, 같은 집합에 있는 것으로 이해할 수 있다. 반면에 노드 1과 노드5는 서로 연결되어 있지 않기 때문에 서로 다른 집합으로 나누어져 있다고 이해할 수 있다.
예제를 통해 서로소 집합 알고리즘을 자세히 확인해보겠다. union 연산을 하나씩 확인하면서 서로 다른 두 원소에 대해 합집합(union)을 수행해야 할 때는, 각각 루트 노드를 찾아서 더 큰 루트 노드가 더 작은 루트 노드를 가리키도록 하면 된다. 구체적인 알고리즘의 동작 과정을 단계별로 알아보자.
step0. 초기 단계에서는 가장 먼저 노드의 개수(V) 크기의 부모 테이블을 초기화 한다. 이때 모든 원소가 자기 자신을 부모로 가지도록 설정한다. 현재 원소의 개수가 6이므로, 초기 단계에서는 총 6개의 트리가 존재하는 것과 같다. 여기에서 유의할 점은 부모 테이블은 말 그대로 부모에 대한 정보만을 담고 있다. 다시 말해 특정한 노드의 부모에 대해서만 저장하고 있다. 우리가 실제로 루트를 확인하고자 할 때는 재귀적으로 부모를 거슬러 올라가서 최종적인 루트 노드를 찾아야 한다.

| 노드 번호 | 1 | 2 | 3 | 4 | 5 | 6 |
| 부모 | 1 | 2 | 3 | 4 | 5 | 6 |
step 1. union 1, 4
첫 번째 union 연산을 확인하면, 1과 4를 합친다. 이때는 노드 1과 노드 4의 루트 노드를 각각 찾으면 된다. 현재 루트 노드는 각각 1과 4이기 때문에 더 큰 번호에 해당하는 루트 노드 4의 부모를 1로 설정한다.

| 노드 번호 | 1 | 2 | 3 | 4 | 5 | 6 |
| 부모 | 1 | 2 | 3 | 1 | 5 | 6 |
step 2. union 2, 3
현재 union 연산을 확인하면, 2와 3을 합친다. 따라서 노드 2와 노드 3의 루트 노드를 각각 찾으면 된다. 현재 루트 노드는 각각 2와 3이기 때문에 더 큰 번호에 해당하는 루트 노드 3의 부모를 2로 설정한다.

| 노드 번호 | 1 | 2 | 3 | 4 | 5 | 6 |
| 부모 | 1 | 2 | 2 | 1 | 5 | 6 |
step 3. union 2, 4
다시 union 연산을 확인하면, 2와 4를 합친다. 따라서 노드 2와 노드 4의 루트 노드를 각각 찾으면 된다. 현재 루트 노드는 각각 2와 1이기 때문에 더 큰 번호에 해당하는 루트 노드 2의 부모를 1로 설정한다.

| 노드 번호 | 1 | 2 | 3 | 4 | 5 | 6 |
| 부모 | 1 | 1 | 2 | 1 | 5 | 6 |
step 4. union 5, 6
마지막 union 연산을 확인하면, 5와 6을 합친다. 따라서 노드 5와 노드 6의 루트 노드를 각각 찾으면 된다. 현재 루트 노드는 각각 5와 6이기 때문에 더 큰 번호에 해당하는 루트 노드 6의 부모를 5로 설정한다.

| 노드 번호 | 1 | 2 | 3 | 4 | 5 | 6 |
| 부모 | 1 | 1 | 2 | 1 | 5 | 5 |
이상으로 모든 union 연산을 처리했다. 이 알고리즘에서 유의할 점은 우리는 union 연산을 효과적으로 수행하기 위해 '부모 테이블'을 항상 가지고 있어야 한다는 점이다. 또한 루트 노드를 즉시 계산할 수 없고, 부모 테이블을 계속해서 확인하며 거슬러 올라가야 한다. 예를 들어 위의 [step 4] 그림에서 노드 3의 부모 노드는 2라고 설정되어 있다. 다만, 노드 2의 부모 노드는 1이기 때문에 최종적으로 노드 3의 루트 노드는 1이라고 볼 수 있다.
다음의 예시로 더욱 간략하게 살펴보자.

| 노드 번호 | 1 | 2 | 3 |
| 부모 | 1 | 1 | 2 |
이 예시에서 노드 3의 루트를 찾기 위해서는 먼저 부모 노드인 2로 이동한 다음 노드 2의 부모를 또 확인해서 노드 1로 접근해야 한다. 결과적으로 노드 1을 확인했을 때 더 이상 부모 노드가 없기 때문에 노드 1이 최종적인 루트 노드라는 것을 알 수 있다. 다시 말해 서로소 집합 알고리즘으로 루트를 찾기 위해서는 재귀적으로 부모를 거슬러 올라가야 한다는 점을 기억하자. 기본적인 서로소 집합 알고리즘의 소스코드는 다음과 같다.
# 특정 원소가 속한 집합을 찾기
def find_parent(parent, x):
# 루트 노드가 아니라면, 루트 노드를 찾을 때까지 재귀적으로 호출
if parent[x] != x:
return find_parent(parent, parent[x])
return x
# 두 원소가 속한 집합을 합치기
def union_parent(parent, a, b):
a = find_parent(parent, a)
b = find_parent(parent, b)
if a < b:
parent[b] = a
else:
parent[a] = b
# 노드의 개수와 간선(union 연산)의 개수 입력 받기
v, e = map(int, input().split())
parent = [0] * (v + 1) # 부모 테이블 초기화
# 부모 테이블 상에서, 부모를 자기 자신으로 초기화
for i in range(1, v + 1):
parent[i] = i
# union 연산을 각각 수행
for i in range(e):
a, b = map(int, input().split())
union_parent(parent, a, b)
# 각 원소가 속한 집합 출력
print('각 원소가 속한 집합: ', end='')
for i in range(1, v + 1):
print(find_parent(parent, i), end=' ')
print()
# 부모 테이블 내용 출력
print('부모 테이블: ', end='')
for i in range(1, v + 1):
print(parent[i], end=' ')
실행 결과는 우리가 앞서 그림으로 확인했던 것과 동일하다. 결과적으로 모든 원소에 대하여 각 원소가 속한 집합을 출력하게 하면 차례대로 1, 1, 1, 1, 5, 5라고 출력된 것을 알 수 있다. 이는 1부터 6까지의 각 원소의 루트 노드가 1, 1, 1, 1, 5, 5라는 의미이다. 이 루트 노드가 같은 원소끼리는 동일한 집합을 이룬다. 다시 말해 전체 원소가 {1, 2, 3, 4}와 {5, 6}으로 나누어지는 것을 이해할 수 있다.
다만, 이렇게 구현하면 답을 구할 수는 있지만, find 함수가 비효율적으로 동작한다. 최악의 경우 find 함수가 모든 노드를 다 확인하는 터라 시간 복잡도가 O(V)라는 점이다.
다음과 같이 {1, 2, 3, 4, 5}의 총 5개의 원소가 존재하는 상황에서 모두 같은 집합에 속하는 경우를 가정해보자. 구체적으로 4개의 union 연산이 순서대로 (4, 5), (3, 4), (2, 3), (1, 2)와 같이 주어졌다고 해보자. 이때 차례대로 연산을 처리하게 되면 다음과 같이 일렬로 나열하는 형태가 된다.

| 노드 번호 | 1 | 2 | 3 | 4 | 5 |
| 부모 | 1 | 1 | 2 | 3 | 4 |
위 그래프를 통해서 알 수 있듯이 1부터 5까지의 모든 원소가 루트 노드로 1이라는 값을 가진다. 하지만 실제로 부모 테이블에 담겨 있는 1부터 5까지의 노드에 대한 부모 노드 값은 차례대로 1, 1, 2, 3, 4가 된다. 예를 들어 노드 5의 루트를 찾기 위해서는 '노드 5 → 노드 4 → 노드 3 → 노드 2 → 노드 1' 순서대로 부모 노드를 거슬러 올라가야 하므로 최대 O(V)의 시간이 소요될 수 있다. 결과적으로 현재의 알고리즘을 그대로 이용하게 되면 노드의 개수가 V개이고 find 혹은 union 연산의 개수가 M개일 때, 전체 시간 복잡도는 O(VM)이 되어 비효율적이다.
하지만 이러한 find 함수는 아주 간단한 과정으로 최적화가 가능하다. 바로 경로 압축(Path Compression) 기법을 적용하면 시간 복잡도를 개선시킬 수 있다. 경로 압축은 find 함수를 재귀적으로 호출한 뒤에 부모 테이블값을 갱신하는 기법이다. 기존의 find 함수를 다음과 같이 변경하면 경로 압축 기법의 구현이 완료된다.
def find_parent(parent, x):
if parent[x] != x:
parent[x] = find_parent(parent, parent[x])
return parent[x]
이렇게 함수를 수정하면 각 노드에 대하여 find 함수를 호출한 이후에, 해당 노드의 루트 노드가 바로 부모 노드가 된다. 아까와 동일하게 {1, 2, 3, 4, 5}의 총 5개 원소가 존재하는 상황에서 4개의 union 연산이 순서대로 (4, 5), (3, 4), (2, 3), (1, 2)와 같이 주어졌다고 가정해보자. 이때 모든 union 함수를 처리한 후 각 원소에 대하여 find 함수를 수행하면 다음과 같이 부모 테이블이 형성된다. 결과적으로 경로 압축 기법을 이용하게 되면 루트 노드에 더욱 빠르게 접근할 수 있다는 점에서 기존의 기본적인 알고리즘과 비교했을 때 시간 복잡도가 개선된다.

| 노드 번호 | 1 | 2 | 3 | 4 | 5 |
| 부모 | 1 | 1 | 1 | 1 | 1 |
개선된 서로소 집합 알고리즘 소스코드는 다음과 같다.
# 특정 원소가 속한 집합을 찾기
def find_parent(parent, x):
# 루트 노드가 아니라면, 루트 노드를 찾을 때까지 재귀적으로 호출
if parent[x] != x:
parent[x] = find_parent(parent, parent[x])
return parent[x]
# 두 원소가 속한 집합을 합치기
def union_parent(parent, a, b):
a = find_parent(parent, a)
b = find_parent(parent, b)
if a < b:
parent[b] = a
else:
parent[a] = b
# 노드의 개수와 간선(union 연산)의 개수 입력 받기
v, e = map(int, input().split())
parent = [0] * (v + 1) # 부모 테이블 초기화
# 부모 테이블상에서, 부모를 자기 자신으로 초기화
for i in range(1, v + 1):
parent[i] = i
# union 연산을 각각 수행
for i in range(e):
a, b = map(int, input().split())
union_parent(parent, a, b)
# 각 원소가 속한 집합 출력
print('각 원소가 속한 집합: ', end='')
for i in range(1, v + 1):
print(find_parent(parent, i), end=' ')
print()
# 부모 테이블 내용 출력
print('부모 테이블: ', end='')
for i in range(1, v + 1):
print(parent[i], end=' ')
서로소 집합 알고리즘의 시간 복잡도
서로소 집합 알고리즘을 구현할 때, 경로 압축 방법만을 이용할 경우의 시간 복잡도를 알아보자. 노드의 개수가 V개이고, 최대 V - 1개의 union 연산과 M개의 find 연산이 가능할 때 경로 압축 방법을 적용한 시간 복잡도는 O(V + M(1 + log(2-M/V)V))라는 것이 알려져 있다. 증명 과정은 이 책의 범위가 아니라서 생략한다. 예를 들어 노드의 개수가 1,000개이고, union 및 find 연산이 총 100만 번 수행된다고 하자. 그러면 이 경우 정확하지는 않지만, 대략 V + Mlog(2)V를 계산해서 약 1,000만 번 가량의 연산이 필요하다고 이해하면 된다.
사실 경로 압축을 제외하고도, 시간 복잡도를 줄일 수 있는 방법은 여러 가지가 있다. 하지만 프로그래밍 대회가 아니라면 (코딩 테스트 수준에서는) 경로 압축만 적용해도 충분하다. 또한 경로 압축은 개념 및 구현이 간단하다는 점에서 코딩 테스트를 치르는 우리의 입장에서 기억하기도 쉽다. 따라서 꼭 기억해 두어야 한다.
서로소 집합을 활용한 사이클 판별
서로소 집합은 다양한 알고리즘에 사용될 수 있다. 특히 서로소 집합은 무방향 그래프 내에서의 사이클을 판별할 때 사용할 수 있다는 특징이 있다. 참고로 방향 그래프에서의 사이클 여부는 DFS를 이용하여 판별할 수 있으며, 해당 내용은 여기서는 다루지 않을 것이다.
앞서 union 연산은 그래프에서의 간선으로 표현될 수 있다고 했다. 따라서 간선을 하나씩 확인하면서 두 노드가 포함되어 있는 집합을 합치는 과정을 반복하는 것만으로도 사이클을 판별할 수 있다. 알고리즘은 다음과 같다.
1. 각 간선을 확인하며 두 노드의 루트 노드를 확인한다.
Ⅰ. 루트 노드가 서로 다르다면 두 노드에 대하여 union 연산을 수행한다.
Ⅱ. 루트 노드가 서로 같다면 사이클(Cycle)이 발생한 것이다.
2. 그래프에 포함되어 있는 모든 간선에 대하여 1번 과정을 반복한다.
그래프의 특정 정점에서 출발하여 돌아다니다가 다시 처음 출발했던 곳으로 되돌아갈 수 있으면 사이클(cycle)이 있다고 한다. 아래 그림 (a)에서 T[j](출발) → T[n] → T[m] → T[j](출발지점으로 다시 돌아옴)으로 순환되는 사이클이 있지만, (b)에서는 어디에서 출발하든지 출발지점으로 다시 돌아올 수 있는 방법이 없다. 즉 (b)에는 사이클이 존재하지 않는다.

다음 그래프의 사이클을 판별하는 과정을 살펴보자.
step 0. 초기 단계에서는 모든 노드에 대하여 자기 자신을 부모로 설정하는 형태로 부모 테이블을 초기화 한다.

| 인덱스 | 1 | 2 | 3 |
| 부모 | 1 | 2 | 3 |
step 1. 가장 먼저 간선 (1, 2)를 확인한다. 노드 1과 노드 2의 루트 노드는 각각 1과 2이다. 따라서 더 큰 번호를 갖는 노드 2의 부모 노드를 1로 변경한다.

| 인덱스 | 1 | 2 | 3 |
| 부모 | 1 | 1 | 3 |
step 2. 이어서 간선 (1, 3)을 확인한다. 노드 1과 노드 3의 루트 노드는 각각 1과 3이다. 따라서 더 큰 번호를 갖는 노드 3의 부모 노드를 1로 변경한다.

| 인덱스 | 1 | 2 | 3 |
| 부모 | 1 | 1 | 1 |
step 3. 이후에 (2, 3) 간선을 확인한다. 다만, 이때 노드 2와 3이 이미 루트 노드로 '노드 1'을 가지고 있다. 다시 말해서 사이클이 발생한다는 것을 알 수 있다.

이러한 사이클 판별 알고리즘은 그래프에 포함되어 있는 간선의 개수가 E개일 때 모든 간선을 하나씩 확인하며, 매 간선에 대하여 union 및 find 함수를 호출하는 방식으로 동작한다. 이 알고리즘은 간선에 방향성이 없는 무향 그래프에서만 적용 가능하다.
서로소 집합을 활용한 사이클 판별 소스코드는 다음과 같다.
# 특정 원소가 속한 집합을 찾기
def find_parent(parent, x):
# 루트 노드가 아니라면, 루트 노드를 찾을 때까지 재귀적으로 호출
if parent[x] != x:
parent[x] = find_parent(parent, parent[x])
return parent[x]
# 두 원소가 속한 집합을 합치기
def union_parent(parent, a, b):
a = find_parent(parent, a)
b = find_parent(parent, b)
if a < b:
parent[b] = a
else:
parent[a] = b
# 노드의 개수와 간선(union 연산)의 개수 입력 받기
v, e = map(int, input().split())
parent = [0] * (v + 1) # 부모 테이블 초기화
# 부모 테이블상에서, 부모를 자기 자신으로 초기화
for i in range(1, v + 1):
parent[i] = i
cycle = False # 사이클 발생 여부
for i in range(e):
a, b = map(int, input().split())
# 사이클이 발생한 경우 종료
if find_parent(parent, a) == find_parent(parent, b):
cycle = True
break
# 사이클이 발생하지 않았다면 합집합(union) 수행
else:
union_parent(parent, a, b)
if cycle:
print("사이클이 발생했습니다.")
else:
print("사이클이 발생하지 않았습니다.")
[참고문헌]
나동빈, 2021, 「이것이 취업을 위한 코딩 테스트다 with 파이썬」, 한빛미디어.
https://www.researchgate.net/figure/Example-of-cyclic-and-acyclic-graphs_fig2_2431833
'Data Structure & Algorithm' 카테고리의 다른 글
| 위상 정렬 알고리즘(Topological Sort Algorithm) - 그래프 이론 (0) | 2022.05.18 |
|---|---|
| 크루스칼 알고리즘(Kruskal Algorithm) - 그래프 이론 (0) | 2022.05.18 |
| 그래프 이론 (0) | 2022.05.17 |
| 플로이드 워셜 알고리즘(Floyd-Warshall Algorithm) (0) | 2022.05.15 |
| 다익스트라(Dijkstra) 최단 경로 알고리즘 (0) | 2022.05.15 |