
위상 정렬(Topology Sort)은 정렬 알고리즘의 일종이다. 위상 정렬은 순서가 정해져 있는 일련의 작업을 차례대로 수행해야 할 때 사용할 수 있는 알고리즘이다. 조금 더 이론적으로 설명하자면, 위상 정렬이란 방향 그래프의 모든 노드를 '방향성에 거스르지 않도록 순서대로 나열하는 것'이다.
현실 세계에서 위상 정렬을 수행하게 되는 전형적인 예시로는 '선수과목을 고려한 학습 순서 설정'을 들 수 있다. 예를 들어 컴퓨터공학과 커리큘럼에는 '자료구조' 과목을 수강한 뒤에 '알고리즘' 강의를 수강하는 것을 권장한다. 이때 '자료구조' 및 '알고리즘'을 각각의 노드로 표현하고, '자료구조'에서 '알고리즘'으로 이어질 수 있도록 방향성을 갖는 간선을 그릴 수 있다. 다시 말해 그래프상에서 선후 관계가 있다면, 위상 정렬을 수행하여 모든 선후 관계를 지키는 전체 순서를 계산할 수 있다.
다시 예를 들면 컴퓨터공학과의 커리큘럼이 다음 그림과 같이 총 3개의 과목만으로 구성되고 '알고리즘'의 선수과목으로 '자료구조'가 있다고 가정하자. 또한 '고급 알고리즘'의 선수과목으로 '자료구조'와 '알고리즘'이 있다고 가정하자. 이 경우 모든 과목을 수강하기 위해서는 '자료구조 → 알고리즘 → 고급 알고리즘' 순서로 강의를 수강해야 한다.

위상 정렬 알고리즘을 자세히 살펴보기 전에, 먼저 진입차수(Indegree)를 알아야 한다. 진입차수란 특정한 노드로 '들어오는' 간선의 개수를 의미한다. 컴퓨터공학과의 커리큘럼 예시에서 '고급 알고리즘' 노드를 확인해보자. '고급 알고리즘' 노드는 2개의 선수과목을 가지고 있다. 다시 말해 그래프상에서 진입차수가 2인 것을 확인할 수 있다. 이제 주어진 방향 그래프에서 위상 정렬을 수행하는 구체적인 알고리즘을 살펴보자. 위상 정렬 알고리즘은 다음과 같다.
1. 진입차수가 0인 노드를 큐에 넣는다.
2. 큐가 빌 때까지 다음의 과정을 반복한다.
Ⅰ. 큐에서 원소를 꺼내 해당 노드에서 출발하는 간선을 그래프에서 제거한다.
Ⅱ. 새롭게 진입차수가 0이 된 노드를 큐에 넣는다.
이 알고리즘을 이용하여 간단하게 위상 정렬을 수행할 수 있다. 알고리즘에서도 확인할 수 있듯이 큐가 빌 때까지 큐에서 원소를 계속 꺼내서 처리하는 과정을 반복한다. 이때 모든 원소를 방문하기 전에 큐가 빈다면 사이클이 존재한다고 판단할 수 있다. 다시 말해 큐에서 원소가 V번 추출되기 전에 큐가 비어버리면 사이클이 발생한 것이다. 사이클이 존재하는 경우 사이클에 포함되어 있는 원소 중에서 어떠한 원소도 큐에 들어가지 못하기 때문이다. 다만, 기본적으로 위상 정렬 문제에서는 사이클이 발생하지 않는다고 명시하는 경우가 더 많으므로, 여기서는 사이클이 발생하는 경우는 고려하지 않을 것이다.
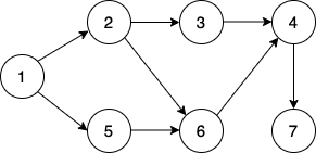
다음 그래프를 예로 설명하겠다.

step 0. 초기 단계에서는 진입차수가 0인 노드를 큐에 넣는다. 현재 노드 1의 진입차수만 0이기 때문에 큐에 노드 1만 삽입한다. 큐에 삽입된 노드는 그림처럼 색을 다르게 표현했다.

| 노드 | 1 | 2 | 3 | 4 | 5 | 6 | 7 |
| 진입차수 | 0 | 1 | 1 | 2 | 1 | 2 | 1 |
| 큐 | 노드 1 |
step 1. 먼저 큐에 들어 있는 노드 1을 꺼낸다. 이제 노드 1과 연결되어 있는 간선들을 제거한다. 그러면 새롭게 노드 2와 노드 5의 진입차수가 0이 된다. 따라서 노드 2와 노드 5를 큐에 삽입한다. 처리된 노드와 간선은 점선으로 표기하겠다.

| 노드 | 1 | 2 | 3 | 4 | 5 | 6 | 7 |
| 진입차수 | 0 | 0 | 1 | 2 | 0 | 2 | 1 |
| 큐 | 노드 2, 노드 5 |
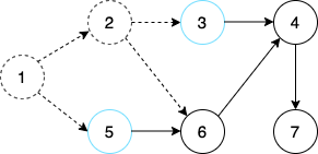
step 2. 그 다음 큐에 들어 있는 노드 2를 꺼낸다. 이제 노드 2와 연결되어 있는 간선들을 제거한다. 그러면 새롭게 노드 3의 진입차수가 0이 된다. 따라서 노드 3을 큐에 삽입한다.

| 노드 | 1 | 2 | 3 | 4 | 5 | 6 | 7 |
| 진입차수 | 0 | 0 | 0 | 2 | 0 | 1 | 1 |
| 큐 | 노드 5, 노드 3 |
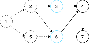
step 3. 그 다음 큐에 들어 있는 노드 5를 꺼낸다. 이제 노드 5와 연결되어 있는 간선들을 제거한다. 그러면 새롭게 노드 6의 진입차수가 0이 된다. 따라서 노드 6을 큐에 삽입한다.

| 노드 | 1 | 2 | 3 | 4 | 5 | 6 | 7 |
| 진입차수 | 0 | 0 | 0 | 2 | 0 | 0 | 1 |
| 큐 | 노드 3, 노드 6 |
step 4. 그 다음 큐에 들어 있는 노드 3을 꺼낸다. 이제 노드 3과 연결되어 있는 간선들을 제거한다. 이번 단계에서는 새롭게 진입차수가 0이 되는 노드가 없으므로 그냥 넘어간다.

| 노드 | 1 | 2 | 3 | 4 | 5 | 6 | 7 |
| 진입차수 | 0 | 0 | 0 | 1 | 0 | 0 | 1 |
| 큐 | 노드 6 |
step 5. 그 다음 큐에 들어 있는 노드 6을 꺼낸다. 이제 노드 6과 연결되어 있는 간선을 제거한다. 그러면 새롭게 노드 4의 진입차수가 0이 된다. 따라서 노드 4를 큐에 삽입한다.

| 노드 | 1 | 2 | 3 | 4 | 5 | 6 | 7 |
| 진입차수 | 0 | 0 | 0 | 0 | 0 | 0 | 1 |
| 큐 | 노드 4 |
step 6. 그 다음 큐에 들어 있는 노드 4를 꺼낸다. 이제 노드 4와 연결되어 있는 간선을 제거한다. 그러면 새롭게 노드 7의 진입차수가 0이 된다. 따라서 노드 7을 큐에 삽입한다.

| 노드 | 1 | 2 | 3 | 4 | 5 | 6 | 7 |
| 진입차수 | 0 | 0 | 0 | 0 | 0 | 0 | 0 |
| 큐 | 노드 7 |
step 7. 그 다음 큐에 들어 있는 노드 7을 꺼낸다. 이제 노드 7과 연결되어 있는 간선을 제거해야 한다. 이번 단계에서는 새롭게 진입차수가 0이 되는 노드가 없으므로 그냥 넘어간다.

| 노드 | 1 | 2 | 3 | 4 | 5 | 6 | 7 |
| 진입차수 | 0 | 0 | 0 | 0 | 0 | 0 | 0 |
| 큐 |
위 과정을 수행하는 동안 큐에서 빠져나간 노드를 순서대로 출력하면, 그것이 바로 위상 정렬을 수행한 결과가 된다. 위상 정렬의 답안은 여러 가지가 될 수 있다는 점이 특징이다. 만약에 한 단계에서 큐에 새롭게 들어가는 원소가 2개 이상인 경우가 있다면, 여러 가지의 답이 존재하게 된다. 예를 들어 위 예시에서는 1 - 2 - 5 - 3 - 6 - 4 - 7이 하나의 답이 될 수 있으며, 1 - 5 - 2 - 3 - 6 - 4 - 7 또한 하나의 답이 될 수 있다. 전체 소스코드는 다음과 같다.
from collections import deque
# 노드의 개수와 간선의 개수를 입력 받기
v, e = map(int, input().split())
# 모든 노드에 대한 진입차수는 0으로 초기화
indegree = [0] * (v + 1)
# 각 노드에 연결된 간선 정보를 담기 위한 연결 리스트(그래프) 초기화
graph = [[] for i in range(v + 1)]
# 방향 그래프의 모든 간선 정보를 입력 받기
for _ in range(e):
a, b = map(int, input().split())
graph[a].append(b) # 정점 A에서 B로 이동 가능
# 진입차수를 1 증가
indegree[b] += 1
# 위상 정렬 함수
def topology_sort():
result = [] # 알고리즘 수행 결과를 담을 리스트
q = deque() # 큐 기능을 위한 deque 라이브러리 사용
# 처음 시작할 때는 진입차수가 0인 노드를 큐에 삽입
for i in range(1, v + 1):
if indegree[i] == 0:
q.append(i)
# 큐가 빌 때까지 반복
while q:
# 큐에서 원소 꺼내기
now = q.popleft()
result.append(now)
# 해당 원소와 연결된 노드들의 진입차수에서 1 빼기
for i in graph[now]:
indegree[i] -= 1
# 새롭게 진입차수가 0이 되는 노드를 큐에 삽입
if indegree[i] == 0:
q.append(i)
# 위상 정렬을 수행한 결과 출력
for i in result:
print(i, end=' ')
topology_sort()
위상 정렬의 시간 복잡도는 O(V + E)이다. 위상 정렬을 수행할 때는 차례대로 모든 노드를 확인하면서, 해당 노드에서 출발하는 간선을 차례대로 제거해야 한다. 결과적으로 노드와 간선을 모두 확인한다는 측면에서 O(V + E)의 시간이 소요되는 것이다.
[참고문헌]
나동빈, 2021, 「이것이 취업을 위한 코딩 테스트다 with 파이썬」, 한빛미디어.
'Data Structure & Algorithm' 카테고리의 다른 글
| 링크드 리스트 (Linked List) (0) | 2022.12.03 |
|---|---|
| 큐(Queue) & 스택(Stack) (0) | 2022.11.30 |
| 크루스칼 알고리즘(Kruskal Algorithm) - 그래프 이론 (0) | 2022.05.18 |
| 서로소 집합 알고리즘(Disjoint Sets Algorithm) - 그래프 이론 (0) | 2022.05.17 |
| 그래프 이론 (0) | 2022.05.17 |